
QN-EAC型弧光保護
概述
中、低壓母線發生短路故障時,所產生的電弧光會對設備及人員造成極大的傷害 。但是目前在國內中低壓母線系統中一般不配置專用的快速母線保護,而是依賴上一級變壓器的后備保護切除母線短路故障,這樣導致了故障切除時間的延長,加大了故障對設備的損傷程度。破壞嚴重時可能造成事故進一步擴大,威脅到整個變配電系統的穩定運行。該問題已引起業內專業人士的高度重視。
工作原理
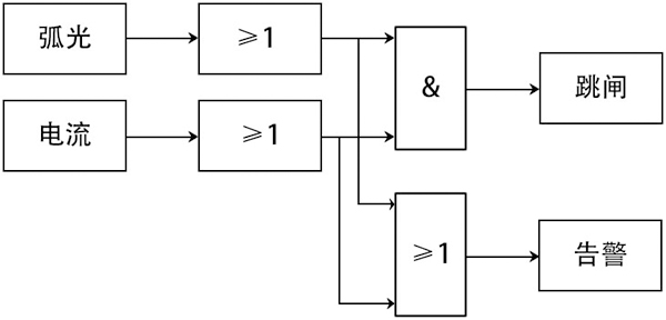
智能弧光綜合保護系統通過安裝于開關柜內部任意位置的弧光傳感器傳遞來的弧光信號,及檢測到的電流增量作為故障判斷的依據。當同時檢測到特定強度的弧光和電流增量時做發出跳閘指令,同時顯示故障位置。

典型動作邏輯原理圖
電氣參數
裝置電源 |
額定電壓 | AC220V、DC220V、DC110V |
工作范圍 | 85V~265V |
裝置功耗 |
裝置功耗 | 不大于5W |
弧光檢測范圍 |
弧光強度檢測范圍 | 100Lux~500Klux |
交流回路 |
額定電流In | 1A/5A |
額定頻率 | 45~65Hz |
功率消耗 | 小于0.1VA |
動作整定 |
相電流 | 0.5~10In |
精度 | 5% |
輸出觸點容量 |
輸出觸點容量 | 5A 250VAC/30VDC |
環境溫度 |
允許的工作溫度/貯存溫度 | -20℃~+50℃ / -25℃~+70℃ |
動作時間 |
裝置出口時間 | 小于7毫秒 |
通訊 |
通訊方式 | RS-485/以太網/光纖環網 |
通訊協議 | ModBus@RTU/IEC103 |
傳輸速率 | ModBus 可達19.2Kbps 以太網 可達100Mbps 光纖環網 可達100Mbps |